近日,材料学院先进凝固技术中心团队在热裂研究方面取得新的进展,相关研究成果以“Propagation mechanism and criteria of hot tearing in Fe-1.0 wt.%C binary alloy”为题发表在工程失效领域学术期刊Engineering Failure Analysis(中科院工程技术类2区,材料科学:表征与测试1区)。该论文第一完成人为苏晨曦硕士研究生,sunbet申搏官方网站为第一作者单位,仲红刚博士、翟启杰教授为通讯作者,合作者为东南大学韩青有教授。

热裂是连续铸钢及其它金属凝固过程中的常见缺陷,其准确预测对冶金生产及合金铸造等非常重要。但是,目前对热裂的研究多基于镁合金、铝合金等有色合金,对于钢的热裂研究相对较少。该工作以热裂倾向严重、具有典型粗大树枝晶组织的Fe-1.0 wt.%C二元合金为研究对象,采用动态加载凝固裂纹热模拟试验机,研究了不同应变速率下该合金的热裂形成过程。发现Fe-1.0%C二元合金的临界应变速率范围在1.2×10-4s-1-7.9×10-5s-1之间,且热裂纹扩展的温度或固相率与团队提出的热裂倾向因子
存在单调函数关系,表明该理论也适于Fe-C合金,该研究对高碳钢连铸裂纹的预测和预防具有实际意义。

动态加载凝固裂纹热模拟试验机原理示意图
首先,利用自主开发的动态加载凝固裂纹热模拟试验机,通过主动施加载荷并精确控制加载速率,模拟Fe-1.0 wt.%C二元合金的热裂形成过程。在此基础上,结合力学曲线分析、金相组织观察、断口形貌评估,以及混合搭桥理论和热裂敏感性指标,系统表征了Fe-1.0 wt.%C二元合金的热裂行为。研究不仅确定了该合金的临界应变速率范围,为碳钢热裂的预测与定量研究提供了参考;还分析了不同实验参数与团队提出的热裂倾向因子
的关系曲线,结果显示曲线拟合度良好,表明该热裂倾向因子在Fe-1.0 wt.%C二元合金中具有热裂预测价值。

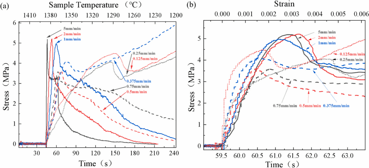
数据转换后得到应力-试样温度曲线和程应力-应变曲线

不同应变速率下
与裂纹初次扩展温度及其对应的固相分数的关系
该研究得到国家自然科学基金和龙门实验室项目的资助。
文章链接:https://www.sciencedirect.com/science/article/pii/S1350630725005710?via%3Dihub
https://authors.elsevier.com/a/1lKvc4p6GubZ6E(全文免费下载40天)